皖南电机:目前市场上电动机频率基本50Hz、60Hz两种,当额定电压与使用电压相同时,60Hz电动机是不能直接用于50Hz电源的,因为:第一、激磁电流增加,将使电动机功率因数下降;第二、每极磁通增加,铁心损耗增大,激磁电流增加,绕组铜损耗增大,这两损耗都使电动机效率降低,温升增高;第三、电动机转速降低,散热变坏,温升增高。
2.1 若要求转矩不变,则 ,
例如,额定电压450V/60Hz的电动机可以直接接在380/50Hz电源上运行,如果保持电动机的转矩近似不变,则输出功率应降低16.7%。
2.2 若要求功率不变,则

例如,额定电压420V/60Hz的电动机可以直接接在380/50Hz电源上运行,这时电动机的输出功率保持不变。
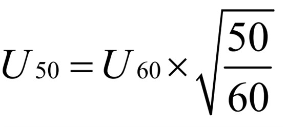
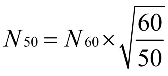
电动机电压可以用调压器实现,也可以拆换定子绕组实现,在拆除原绕组时应做好原始记录,线规、每圈匝数、并绕根数、节距、并联支路数等。当使用电压与原电压相同时,重换绕组简易计算如下,则 :
N50-50Hz时绕组每槽导体数; N60-60Hz时绕组每槽导体数;
导体截面积要相应减少10%左右,如果电动机原来槽满率不高,改成50hz电机时,导体截面积可以不变,这样拆换绕组后,电动机的输出功率基本保持不变。
本文由完美(中国)体育官方网站原创发布,转载请注明出处

专注电机制造60年,服务全球制造业
